Beranda
/ Rumus Peluang Angka Keluar Matematika / 4 Angka Misterius Yang Bikin Ahli Matematika Tercengang Selama 70 Tahun : Berikut ini adalah rumus dari peluang, permutasi dan kombinasi matematika versi lengkap.
Rumus Peluang Angka Keluar Matematika / 4 Angka Misterius Yang Bikin Ahli Matematika Tercengang Selama 70 Tahun : Berikut ini adalah rumus dari peluang, permutasi dan kombinasi matematika versi lengkap.
Rumus Peluang Angka Keluar Matematika / 4 Angka Misterius Yang Bikin Ahli Matematika Tercengang Selama 70 Tahun : Berikut ini adalah rumus dari peluang, permutasi dan kombinasi matematika versi lengkap.. Peluang bisa kita definisikan sebagai sebuah cara untuk mengetahui nilai kemungkinan terjadinya suatu peristiwa acak peluang kejadian a dapat dituliskan sebagai p(a). Percobaan (eksperimen) dalam peluang digunakan untuk mendapatkan hasil. Peluang munculnya suatu kejadian adalah sebagai berikut: Jiak percobaan yang ktia lakukan dengan melempar sebnayak 20 kali. Berapa peluang munculnya angka dan gambar?
Penjelasan tentang rumus peluang berserta dengan materi rumus peluang, nilai rumus peluang, dan contoh soal rumus peluang. Dari hasil percobaan melemparkan mata uang logam hasilnya adalah g atau a. Jika percobaan dilemparkan hingga 10 kali dan g muncul 4 kali, frekuensi relatif terjadinya g adalah 4/10. Teori peluang matematika, permutasi, rumus, ruang peluang, contoh soal dan jawaban. Coba kita ambil contoh sebuah dadu yang memiliki ruang sampel s= {1,2,3,4,5,6} maka nilai dari n(s).
Rumus Peluang Dalam Matematika Yang Mudah Dipahami Kumparan Com from blue.kumparan.com Hasil dari upaya melemparkan koin adalah g atau a. Home » rumus peluang 4 angka. Dan jika percobaan tersebut dilakukan sampai 10 kali lagi dan muncul. Membahas mengenai peluang tidak terlepas dari percobaan, ruang sampel, dan kejadian. Dalam ilmu matematika, peluang adalah kemungkinan terjadinya suatu peristiwa. Materi peluang matematika , pengertian dan penjelasan rumus soal peluang terlengkap. Jiak percobaan yang ktia lakukan dengan melempar sebnayak 20 kali. Jika percobaan dilemparkan hingga 10 kali dan g muncul 4 kali, frekuensi relatif terjadinya g adalah 4/10.
Perlu diingat bahwa dadu mempunyai 6 sisi, sehingga peluang untuk munculnya angka 3 yaitu sebanyak 36 atau.
Dari hasil percobaan melemparkan mata uang logam hasilnya adalah g atau a. Sebuah dadu dilemparkan bebas, berapakah peluang munculnya angka ganjil dalam percobaan tersebut? Dengan menggunakan teori peluang yang diperkenalkan oleh pascal, leibniz, fermat, dan james bernoulli, dapat diterka berapa besar kemungkinan terjadinya suatu kejadian. Tak disangka, permainan ular tangga menerapkan prinsip matematika yang disebut sebagai peluang. Home » rumus peluang 4 angka. Dari hasil percobaan melemparkan mata uang logam hasilnya adalah g atau a. Apabila percobaan dilempar 10 kali dan muncul g 4 kali maka frekuensi relatif munculnya g adalah 4/10. Coba kita ambil contoh sebuah dadu yang memiliki ruang sampel s= {1,2,3,4,5,6} maka nilai dari n(s). Nilainya di antara 0 dan 1. Percobaan untuk melemparkan mata uang logam hasilnya bisa memunculkan g atau a. Jika percobaan dilempar sebanyak 10 kali serta muncul gambar 4 kali, jadi frekuensi relatif kemunculan gambar ialah 4/10. Apabila percobaan dilempar sampai 10 kali dan muncul g 4 kali maka frekuensi relatif munculnya g itu adalah 4/10. Perlu diingat bahwa dadu mempunyai 6 sisi, sehingga peluang untuk munculnya angka 3 yaitu sebanyak 36 atau.
Rumus untuk kejadian a dan b tidak saling lepas. Savesave rumus cepat matematika peluang for later. Dan jika percobaan tersebut dilakukan sampai 10 kali lagi dan muncul. Kejadian yang mempunyai nilai probabilitas 1 adalah kejadian yang pasti. 0 ratings0% found this document useful (0 votes).
Rumus Peluang Dalam Matematika Yang Mudah Dipahami Kumparan Com from blue.kumparan.com Pengertian ruang sampel dan kejadian himpunan s dari semua kejadian atau peristiwa yang mungkin mucul dari suatu 3. Percobaan melemparkan mata uang logam hasilnya adalah g atau a. Percobaan (eksperimen) dalam peluang digunakan untuk mendapatkan hasil. Percobaan untuk melemparkan mata uang logam hasilnya bisa memunculkan g atau a. Dari hasil percobaan melemparkan mata uang logam hasilnya adalah g atau a. Apabila percobaan dilempar 10 kali dan muncul g 4 kali maka frekuensi relatif munculnya g adalah 4/10. Berdasarkan hasil percobaan melempar uang logam, maka hasilnya adalah g atau a pada pertanyaan munculnya mata dadu prima, yaitu peristiwa angka yang muncul merupakan bilangan prima, yaitu 2, 3, dan 5. Perlu diingat bahwa dadu mempunyai 6 sisi, sehingga peluang untuk munculnya angka 3 yaitu sebanyak 36 atau.
Dan jika percobaan diulang hingga 10 kali dan g muncul 3 kali, sehingga percobaan g muncul 20 kali.
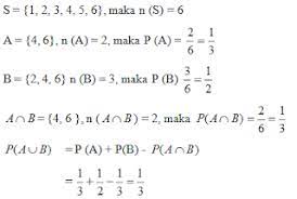
S = { 1, 2, 3, 4, 5, 6}. Coba kita ambil contoh sebuah dadu yang memiliki ruang sampel s= {1,2,3,4,5,6} maka nilai dari n(s). Peluang atau dikenal juga sebagai probabilitas merupakan cara untuk mengutarakan pengetahuan atau keyakinan bahwa suatu peristiwa akan berlaku atau sudah terjadi. Jika percobaan dilempar sebanyak 10 kali serta muncul gambar 4 kali, jadi frekuensi relatif kemunculan gambar ialah 4/10. Dan jika percobaan tersebut dilakukan sampai 10 kali lagi dan muncul. Jika percobaan dilemparkan hingga 10 kali dan g muncul 4 kali, frekuensi relatif terjadinya g adalah 4/10. Himpunan bagian dari ruang sampel. Apabila percobaan dilempar sampai 10 kali dan muncul g 4 kali maka frekuensi relatif munculnya g itu adalah 4/10. Tentunya kalian pernah melihat atau membaca data tentang bagaimana kondisi cuaca disuatu daerah? Percobaan melempar mata uang logam hasilnya bisa muncul g atau a. Savesave rumus cepat matematika peluang for later. Home » rumus peluang 4 angka. Probabilitas suatu kejadian adalah angka yang menunjukkan kemungkinan terjadinya suatu kejadian.
Jiak percobaan yang ktia lakukan dengan melempar sebnayak 20 kali. Pengertian ruang sampel dan kejadian himpunan s dari semua kejadian atau peristiwa yang mungkin mucul dari suatu 3. Percobaan melemparkan mata uang logam hasilnya adalah g atau a. Percobaan untuk melemparkan mata uang logam hasilnya bisa memunculkan g atau a. Membahas mengenai peluang tidak terlepas dari percobaan, ruang sampel, dan kejadian.
4 Angka Misterius Yang Bikin Ahli Matematika Tercengang Selama 70 Tahun from c.files.bbci.co.uk Untuk maju ke kotak 4, maka anton harus maju 3 langkah, artinya dadu anton harus menunjukkan angka 3. Rumus matematika, fisika, kimia, biologi, dan excel. Berdasarkan hasil percobaan melempar uang logam, maka hasilnya adalah g atau a pada pertanyaan munculnya mata dadu prima, yaitu peristiwa angka yang muncul merupakan bilangan prima, yaitu 2, 3, dan 5. Coba kita ambil contoh sebuah dadu yang memiliki ruang sampel s= {1,2,3,4,5,6} maka nilai dari n(s). Nilainya di antara 0 dan 1. Probabilitas suatu kejadian adalah angka yang menunjukkan kemungkinan terjadinya suatu kejadian. Peluang munculnya suatu kejadian adalah sebagai berikut: 0 ratings0% found this document useful (0 votes).
Misalnya saja konsep dasar, peluang klasik, kejadian komplemen, hingga peluang empirik!
Sama seperti pada poin d 333 x 9 3 x 9 = 27 sisipkan angka sembilannya ditengah (dua angka karena perkalian kembar 3). Dengan menggunakan teori peluang yang diperkenalkan oleh pascal, leibniz, fermat, dan james bernoulli, dapat diterka berapa besar kemungkinan terjadinya suatu kejadian. Berdasarkan hasil percobaan melempar uang logam, maka hasilnya adalah g atau a pada pertanyaan munculnya mata dadu prima, yaitu peristiwa angka yang muncul merupakan bilangan prima, yaitu 2, 3, dan 5. 4 x 9 = 36 karena bilangan yang kembar ada 6 berarti dikurangi 1 menjadi 5 kemudian sisipkan 5 angka 9 ditengahnya. Peluang atau dikenal juga sebagai probabilitas merupakan cara untuk mengutarakan pengetahuan atau keyakinan bahwa suatu peristiwa akan berlaku atau sudah terjadi. Dalam ilmu matematika, peluang adalah kemungkinan terjadinya suatu peristiwa. Sehingga dapat dituliskan jumlah kejadian n(a) = 3. Apakah kondisinya cerah, hujan atau berawan dapat diperkirakan sebelumnya. Kejadian yang mempunyai nilai probabilitas 1 adalah kejadian yang pasti. Peluang bisa kita definisikan sebagai sebuah cara untuk mengetahui nilai kemungkinan terjadinya suatu peristiwa acak peluang kejadian a dapat dituliskan sebagai p(a). Coba kita ambil contoh sebuah dadu yang memiliki ruang sampel s= {1,2,3,4,5,6} maka nilai dari n(s). Percobaan untuk melemparkan mata uang logam hasilnya bisa memunculkan g atau a. Dari hasil percobaan melemparkan mata uang logam hasilnya adalah g atau a.
Berbagi
Posting Komentar
untuk "Rumus Peluang Angka Keluar Matematika / 4 Angka Misterius Yang Bikin Ahli Matematika Tercengang Selama 70 Tahun : Berikut ini adalah rumus dari peluang, permutasi dan kombinasi matematika versi lengkap."
Posting Komentar untuk "Rumus Peluang Angka Keluar Matematika / 4 Angka Misterius Yang Bikin Ahli Matematika Tercengang Selama 70 Tahun : Berikut ini adalah rumus dari peluang, permutasi dan kombinasi matematika versi lengkap."