Beranda
/ Sederhanakan Perpangkatan Berikut Ini : Sederhanakan Perpangkatan Berikut Cara Golden - Kedua contoh tersebut memperjelas sifat penjumlahan bilangan berpangkat dengan bilangan pokok yang sama, yaitu sebagai berikut.
Sederhanakan Perpangkatan Berikut Ini : Sederhanakan Perpangkatan Berikut Cara Golden - Kedua contoh tersebut memperjelas sifat penjumlahan bilangan berpangkat dengan bilangan pokok yang sama, yaitu sebagai berikut.
Sederhanakan Perpangkatan Berikut Ini : Sederhanakan Perpangkatan Berikut Cara Golden - Kedua contoh tersebut memperjelas sifat penjumlahan bilangan berpangkat dengan bilangan pokok yang sama, yaitu sebagai berikut.. An = a x a x a x….x a. Berikut ini bukan durhaka kepada orang tua. Sifat penjumlahan dan pengurangan pada bilangan berpangkat. Perpangkatan ini dapat digunakan untuk mempermudah … perpangkatan ini dapat digunakan untuk mempermudah pekerjaan tersebut. Sederhanakan bentuk perkalian bilangan berpangkat ini 42 x 44.
Contoh soal perpangkatan bilangan berpangkat. Sederhanakan operasi perpangkatan berikut ini. Hasil perkalian bentuk pangkat berikut ini. Perpangkatan ini dapat digunakan untuk mempermudah … perpangkatan ini dapat digunakan untuk mempermudah pekerjaan tersebut. Berikut ini bukan durhaka kepada orang tua.
Tugas Matematika 1 from imgv2-1-f.scribdassets.com Sebagai bahan latihan dalam menggunakan beberapa sifat perkalian bilangan berpangkat, kita coba soal latihan yang dipilih dari buku matematika smp kelas ix (sembilan) kurikulum 2013. Sederhanakan perpangkatan berikut ini a. Nyatakan bilangan di bawah ini dalam bentuk yang memuat perpangkatan dengan basis 2. Saya menjawab berdasarkan soal latihan 1.2 perkalian pada perpangkatan halaman 20 yang terdapat pada buku paket matematika kelas 9 revisi 2018. Sebenarnya pembuktian ini memerlukan penjelasan teoritis yang lebih rumit, namun di sini akan dipaparkan secara sederhana dengan sifat pembagian bilangan berpangkat. Kedua contoh tersebut memperjelas sifat penjumlahan bilangan berpangkat dengan bilangan pokok yang sama, yaitu sebagai berikut. 53 merupakan perpangkatan dari 5. B x 2y pangkat 2 x b pangkat 3 x y pangkat 2 c.
B x 2y pangkat 2 x b pangkat 3 x y pangkat 2 c.
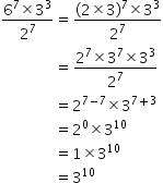
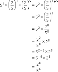
53 merupakan perpangkatan dari 5. An = a x a x a x….x a. Soal 6 diberikan x = 24 dan y = 54. Sederhanakan hasil perpangkatan dari bilangan berpangkat di bawah ini, lalu tentukan nilainya! Nyatakanlah bilangan berikut ini ke vdalam bentuk a untuk mencari nnilai x pada bentuk 2x = 8 digunakan invers dari perpangkatan (logaritma). Bilangan yang mempunyai pangkat dalam matematika terdiri atas Tentukan hasil operasi di bawah ini. Sederhanakan operasi perkalian pada perpangkatan berikut ini. Sifat penjumlahan dan pengurangan pada bilangan berpangkat. Berdasarkan sifat perpangkatan bilangan berpangkat, maka. Contoh soal perpangkatan bilangan berpangkat. 9 calon haji embarkasi solo wafat berikut ini identitasnya. Kedua contoh tersebut memperjelas sifat penjumlahan bilangan berpangkat dengan bilangan pokok yang sama, yaitu sebagai berikut.
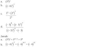
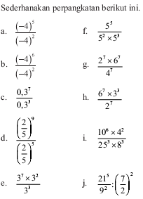
Apakah anda tahu jawaban yang benar? Sederhanakan hasil perkalian bilangan berpangkat berikut ini, kemudian tentukan nilainya. Saya menjawab berdasarkan soal latihan 1.2 perkalian pada perpangkatan halaman 20 yang terdapat pada buku paket matematika kelas 9 revisi 2018. Sederhanakan operasi perpangkatan berikut ini. Tentukanlah hasil operasi dibawah ini dan tuliskan dalam bentuk perpangkatan paling sederhana!
D Dfrac Dfrac25 9 Dfrac25 Lihat Cara Penyelesaian Di Qanda from thumb-m.mathpresso.io 512 temukan nilai x pada persamaan matematika di bawah ini. Apakah anda tahu jawaban yang benar? An = a x a x a x….x a. Jelaskan dan perbaiki kesalahan dalam menyederhanakan. Tentukan hasil operasi di bawah ini. Sederhanakan operasi aljabar berikut ini. Nyatakan bilangan di bawah ini dalam bentuk yang memuat perpangkatan dengan basis 2. Tuliskan jawabanmu dalam bentuk perpangkatan yang paling sederhana.
53 merupakan perpangkatan dari 5.
Soal 1 dapatkan hasil dari operasi perpangkatan berikut ini. Sederhanakan dan nyatakan hasilnya dengan memakai tanda akar contoh soal 4. Nyatakan bilangan berikut dalam perpangkatan dengan basis 2. Sederhanakan operasi aljabar berikut ini (tn3)4×4t3 brainly.co.id/tugas/3337688. Sederhanakan operasi perpangkatan berikut ini. Sifat penjumlahan dan pengurangan pada bilangan berpangkat. 53 merupakan perpangkatan dari 5. 3m pangkat 3 x (mn) pangkat 4 d. Sederhanakan operasi aljabar berikut ini: Sederhanakan bentuk perkalian bilangan berpangkat ini 42 x 44. Tuliskan jawabanmu dalam bentuk perpangkatan yang paling sederhana. An = a x a x a x….x a. Mengapa hal ini dapat terjadi?
Soal 6 diberikan x = 24 dan y = 54. Perpangkatan adalah perkalian berulang dari suatu bilangan yang sama. A disebut bilangan pokok atau basis, sedangkan n disebut pangkat atau eksponen. An = a x a x a x….x a. Tentukanlah hasil operasi dibawah ini dan tuliskan dalam bentuk perpangkatan paling sederhana!
Sederhanakan Perpangkatan Berikut Ini from edukasi-id.com Sederhanakan operasi aljabar berikut ini (tn3)4×4t3 brainly.co.id/tugas/3337688. Soal 6 diberikan x = 24 dan y = 54. Contoh soal perpangkatan bilangan berpangkat. Secara sederhana penulisan bilangan jenis ini adalah sebagai berikut : Sebagai bahan latihan dalam menggunakan beberapa sifat perkalian bilangan berpangkat, kita coba soal latihan yang dipilih dari buku matematika smp kelas ix (sembilan) kurikulum 2013. 43 × 42 = 43 + 2 jumlahkan pangkatnya = 45 sederhanakan. Contoh soal sifat perpangkatan bilangan berpangkat beserta pembahasannya. Nyatakan bilangan berikut dalam perpangkatan dengan basis 2.
2³ × 3⁴ , soal ini tidak sanggup disederhanakan lantaran bilangan pokonya berbeda (2 dan 3).
Sederhanakan dan nyatakan hasilnya dengan memakai tanda akar contoh soal 4. Nyatakan bilangan berikut dalam perpangkatan dengan basis 2. 512 temukan nilai x pada persamaan matematika di bawah ini. Apakah anda tahu jawaban yang benar? Tentukanlah hasil operasi dibawah ini dan tuliskan dalam bentuk perpangkatan paling sederhana! Jelaskan dan perbaiki kesalahan dalam menyederhanakan. Sifat penjumlahan dan pengurangan bilangan berpangkat. Kedua contoh tersebut memperjelas sifat penjumlahan bilangan berpangkat dengan bilangan pokok yang sama, yaitu sebagai berikut. An = a x a x a x….x a. Mengenal hal ini, dapat ditulis sebagai berikut : Sederhanakan operasi perkalian pada perpangkatan berikut ini. Mengapa hal ini dapat terjadi? Makara kita hanya sanggup menghitung nilainya saja.
Berbagi
Posting Komentar
untuk "Sederhanakan Perpangkatan Berikut Ini : Sederhanakan Perpangkatan Berikut Cara Golden - Kedua contoh tersebut memperjelas sifat penjumlahan bilangan berpangkat dengan bilangan pokok yang sama, yaitu sebagai berikut."
Posting Komentar untuk "Sederhanakan Perpangkatan Berikut Ini : Sederhanakan Perpangkatan Berikut Cara Golden - Kedua contoh tersebut memperjelas sifat penjumlahan bilangan berpangkat dengan bilangan pokok yang sama, yaitu sebagai berikut."